Jia Li, Dongping Liu, Wei Li, Wenbin Duan, Jie Gao, Chao Wang. 2025: Moult-breeding trade-offs in the Crested Ibis (Nipponia nippon) could have management applications. Avian Research, 16(1): 100250. DOI: 10.1016/j.avrs.2025.100250
Citation: Jia Li, Dongping Liu, Wei Li, Wenbin Duan, Jie Gao, Chao Wang. 2025: Moult-breeding trade-offs in the Crested Ibis (Nipponia nippon) could have management applications. Avian Research, 16(1): 100250. DOI: 10.1016/j.avrs.2025.100250

Moult-breeding trade-offs in the Crested Ibis (Nipponia nippon) could have management applications

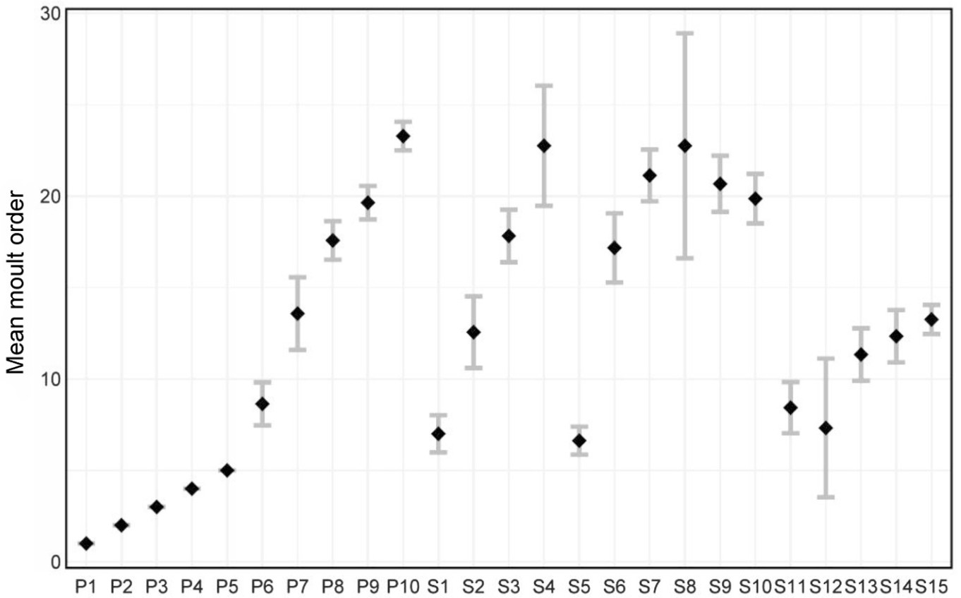
  • Moult is an essential event in the annual cycle of birds. Moult patterns and strategies of birds are crucial for understanding their life-history trade-offs and adaptations to the environment. However, moult knowledge is still lacking for many Eastern Palaearctic birds, especially large endangered species, mainly because of the difficulty in data collection. Here, we used field photography, a non-invasive method, to detect and score moult in the endangered Crested Ibis (Nipponia nippon) and explored the moult timing variations and moult-breeding trade-offs. The adult Crested Ibis sequentially moults its primaries outward, and secondaries inward from three foci from April to October. Age (adult versus sub-adult) and breeding status (breeding or not) have a significant effect on moult timing. Moult timing does not differ between the sexes, likely because of similar parental investments in breeding. Crested Ibis exhibits significant moult-breeding overlap, because moult is time constrained and needs to finish before the season of food scarcity in winter. Breeding timing (first egg laying date) has a strong impact on moult duration, with late breeders experiencing a longer moult duration, indicating that the moult intensity is slowed down during the breeding period because of trade-offs between moult and breeding. This reflects that energy allocation of late breeders is challenging during extensive periods of moult-breeding overlap, which might partly contribute to their high breeding failure. Our results strongly suggest the existence of a negative relationship between breeding time on one hand, and fitness and moult on the other: early breeders show higher reproductive output and higher quality plumage, whereas late breeders show lower reproductive output and lower quality plumage.
  • loading

Catalog

    /

    DownLoad:  Full-Size Img  PowerPoint
    Return
    Return