Jorge Garrido-Bautista, Carmen Hernández-Ruiz, José Luis Ros-Santaella, Eliana Pintus, Nicola Bernardo, Mar Comas, Gregorio Moreno-Rueda. 2023: Habitat-dependent breeding biology of the Blue Tit (Cyanistes caeruleus) across a continuous and heterogeneous Mediterranean woodland. Avian Research, 14(1): 100109. DOI: 10.1016/j.avrs.2023.100109
Citation: Jorge Garrido-Bautista, Carmen Hernández-Ruiz, José Luis Ros-Santaella, Eliana Pintus, Nicola Bernardo, Mar Comas, Gregorio Moreno-Rueda. 2023: Habitat-dependent breeding biology of the Blue Tit (Cyanistes caeruleus) across a continuous and heterogeneous Mediterranean woodland. Avian Research, 14(1): 100109. DOI: 10.1016/j.avrs.2023.100109

Habitat-dependent breeding biology of the Blue Tit (Cyanistes caeruleus) across a continuous and heterogeneous Mediterranean woodland

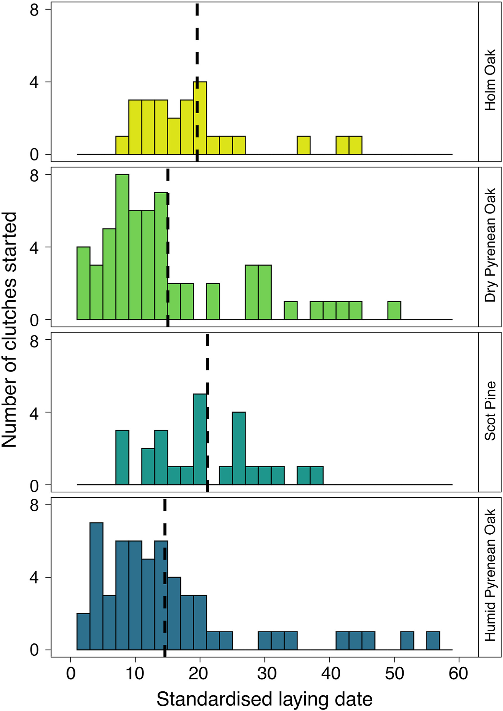
  • Mediterranean woodland environments are characterised by high spatial and temporal heterogeneity, which means the inhabiting species face a wide variety of selective pressures. Species may respond differently to habitat heterogeneity and so distinct eco-evolutionary scenarios may be responsible for the inter-habitat variability in reproductive strategies observed in certain species. The inter-forest variability of some reproductive traits in passerines has been examined by comparing forest patches or separated fragments. However, there is still little information regarding how such highly mobile animals adjust their breeding performance across continuous and heterogeneous woodlands. Here we studied the reproductive performance of a population of Blue Tits (Cyanistes caeruleus) in an area of continuous Mediterranean woodland that included two mountain slopes and four different types of forest, ranging from deciduous oak forests to perennial non-oak forests. We studied the habitat heterogeneity and inter-forest phenotypic variation in terms of reproductive performance and adult and nestling biometry, besides also exploring the effects of ectoparasites on Blue Tit reproduction. Eggs were laid earliest in deciduous Pyrenean Oak (Quercus pyrenaica) forests, while clutch size and the number of fledglings were highest in the humid Pyrenean Oak forest, which had the greatest tree coverage and most humid climate, and lowest in the coniferous Scots Pine (Pinus sylvestris) forest. There were no inter-forest differences in hatching (percentage of nests with at least one egg hatched) and fledging (percentage of nests in which at least one nestling fledged) success. Similarly, there were no inter-forest differences in adult and nestling biometry, but adults that raised more fledglings had a lower body mass, while males whose females laid larger clutches had smaller tarsi. Most ectoparasites did not affect Blue Tit reproduction, although Culicoides had a negative impact on nestling body mass. These results suggest that Blue Tits can adjust their reproductive effort to the forest where they breed even across a very small spatial scale. Different eco-evolutionary scenarios, such as phenotypic plasticity or genetic structuring and local adaptation, might explain the phenotypic differentiation in the reproductive strategies observed over small areas in woodlands.
  • loading

Catalog

    /

    DownLoad:  Full-Size Img  PowerPoint
    Return
    Return