Marco Cucco, Giovanni Boano, Carlo Ciani, Mauro Ferri, Luciano Gelfi, Fausto Minelli, Irene Pellegrino. 2025: The impact of climatic conditions in wintering and breeding quarters on long-term breeding success in the Common Swift. Avian Research, 16(1): 100242. DOI: 10.1016/j.avrs.2025.100242
Citation: Marco Cucco, Giovanni Boano, Carlo Ciani, Mauro Ferri, Luciano Gelfi, Fausto Minelli, Irene Pellegrino. 2025: The impact of climatic conditions in wintering and breeding quarters on long-term breeding success in the Common Swift. Avian Research, 16(1): 100242. DOI: 10.1016/j.avrs.2025.100242

The impact of climatic conditions in wintering and breeding quarters on long-term breeding success in the Common Swift

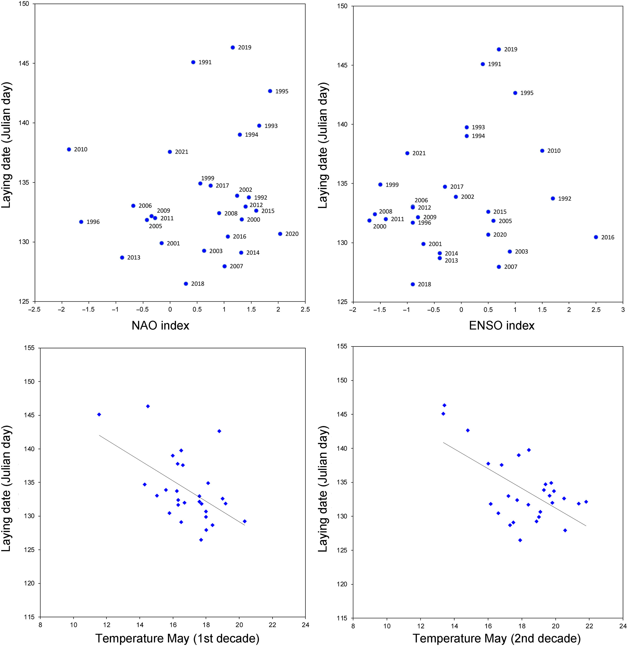
  • Climate change can affect rainfall and temperature worldwide, and the ability of birds to react to these changes can be mirrored by studying population phenology and their breeding success. Some European species have advanced arrival and breeding dates in response to local spring advancement, but conditions experienced during winter seasons may also affect arrival dates and subsequent breeding success. We utilized data collected from 1983 to 2020 in four colonies of Common Swift (Apus apus) in Northern Italy (5486 breeding attempts) to examine the variations of laying date and breeding success in relation to non-breeding conditions (previous winter in Africa) and local conditions in breeding period (spring). Climatic conditions were monitored using the North Atlantic Oscillation (NAO) and El Nino Southern Oscillation (ENSO) indices to describe conditions experienced in winter quarters and the local temperature and rainfall conditions of the breeding area. Common Swifts laid their eggs earlier in warmer springs, and this in turn had a positive effect on breeding success. We did not find evidence for any effects of African winter conditions on laying date nor on breeding success. However, because studies made in the same area have demonstrated a relationship of winter conditions (NAO) on individual survival, our data highlight the importance of considering environmental variables across the annual life cycle to understand variation in Common Swift populations.
  • loading

Catalog

    /

    DownLoad:  Full-Size Img  PowerPoint
    Return
    Return